Toggle navigation
Magoosh
Log in
Sign Up
← Geometry
Cards you don't know will reappear later
You should
create an account
to save your progress. It only takes a minute!
new card
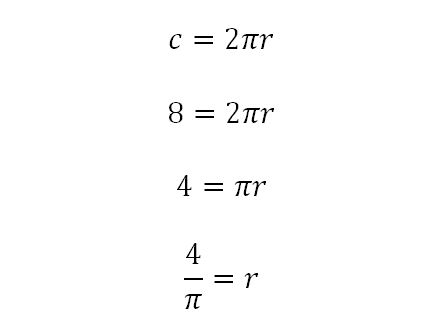
If a circle has a circumference of 8, what is the exact value of the radius?
Click to see back →
new card
I knew this card
I didn't know this card
You have mastered
0
out of 51 cards
You are reviewing
0
out of 51 cards
You are learning
0
out of 51 cards
Have feedback about this card? Please email
help@magoosh.com