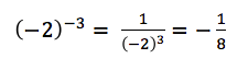
Negative exponents move the entire power down to the denominator. The cube of a negative is negative.